坡印廷定理科普中国-科学百科 2019-02-21 作者:李嘉骞 |
坡印廷定理,英文表示Poynting theorem,是1884年约翰·坡印亭(John Poynting)提出的关于电磁场能量守恒的定理。他认为电磁场中的电场强度E与磁场强度H叉乘所得的矢量,即E×H=S,代表电磁场能流密度,表示一个与垂直通过单位面积的功率相关的矢量。人们称这个矢量S为坡印廷矢量。坡印廷定理表明,在电磁场中的任意闭合面上,坡印廷矢量的外法向分量的闭面积分,等于闭合面所包围的体积中所储存的电场能和磁场能的时间减少率减去容积中转化为热能的电能耗散率。
推导
坡印廷定理是根据麦克斯韦方程组(包含法拉第电磁感应定律及改进的安培定律等)推导出来的。

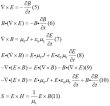
首先考虑法拉第电磁感应定律(公式5),对其两边取B的点积得公式6;然后利用改进的安培定律(公式7),对其两边取与E的点积,得公式8。然后将等式(8)减去(6)并将恒等式(9)带入,得到等式(10)。由于坡印廷矢量S定义为公式(11),带入(10)化简就可以得到等式(4)。这就推导出了表征电磁能量守恒关系的坡印廷定理1。
公式
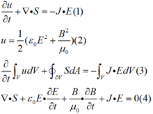
坡印廷定理的微分形式参见公式(1),式中S是坡印廷矢量,表示能量的流动;J是电流密度;E是电场强度。真空中的能量密度u的表达式参见公式(2),式中ε0是真空电导率,μ0是真空磁导率。由于电场不做功,(1)式的右端便给出了电磁场每秒·立方米所做的总功的负值。
坡印廷定理的积分形式参见式(3),dV是包围着体积V的曲面。

在工程领域,该定理通常写成将能量密度u展开的形式,参见公式(4),这与流体力学的连续性方程相似。
公式形式1、积分形式的坡印廷定理
对于由闭合曲面A所限定的体积V,有:

这就是电源外区域的、积分形式的坡印廷定理。它的含义是:垂直穿过闭合面A进入体积V的功率,等于体积内电磁储能的增长率与由传导电流Jc引起的功率损耗之和。更一般的情况是:

式中Ec为电源中的局外场强,Jc为传导电流,σ为体积V内介质的电导率,ρ为运动电荷的电荷密度,v为该电荷的运动速度,E=Jc/σ-Ee为总场强。整个方程的含义是:外源提供的功率等于体积v内电磁能量的增加率、传导电流的功率损耗、运动电荷作功耗损的功率、垂直穿过曲面A向外界输送的功率之总和。
2、微分形式的坡印廷定理

这是就场中某一点而言的。式中

再思考
对坡印廷定理的再思考:
我们这里讨论的直流电是指不随时间变化的稳恒电流。在这种情况下,公式(1)中右边第2项的位移电流为0。于是公式(1)成为安培定律的经典形式:
∇ × H = j c(8)
公式(8)的微分形式来源于安培定律的积分形式:通电导线的周围有环形磁场。而电流以及传导电流密度jc是由电池的电动势驱动导线中的大量电子产生的。使用E点积方程(8)的两边,
E ⋅ ∇ × H = E ⋅ j c (9)
从物理意义上说,方程(9)的右边代表导线内部的电功率密度,方程(9)左边物理意义是不明确的。它究竟是代表导线内部的物理量还是导线外部的物理量?如果它是代表导线外部的物理量,jc = 0,方程(9)左边也是0。如果它是代表导线内部的物理量,那么方程(9)左边的H不能代表通电导线周围的环形磁场。
由方程(9),我们注意到:在直流电路的情况下,上一节推导出的坡印亭矢量只是一个数学定义。它在直流电路没有形成真正的能流。图1显示的大学电磁学教课书的观点:“认为电能是在导线外部通过坡印亭矢量传输到电路内部的观点”,是不正确的。
库仑静电场是纵向电场。在直流电路中,金属线中的电场也是纵向电场。虽然这两个电场有一些相似之处,但事实上电源是有差别的。库仑静电场的电源是孤立电荷,直流电路的电源是电池,电池通过金属线连接到负载电阻器。
在直流电路的情况下,通电导线边界处的电场的边界条件并不清楚的,是否存在净电荷也是不明确的。由于静电场可以用金属盖屏蔽,所以我们对于直流电路做了一些测试。在直流电路中,我们串联一个电流表。1) 我们用金属盖屏蔽电池;2) 我们用金属盖屏蔽电阻器;3) 我们使用同轴电缆屏蔽内部电线。结果如下:电流表的读数基本相同(精度为4位)。这些测试表明,在直流电路中,外部电场(包括金属线界面附近的外部电场)的分布对金属线内的电场基本上没有影响。
总之,直流电能的传输过程与位移电流无关,所以也与坡印亭定理无关。在直流电路的情况下,电路内部的大量自由电子在电源的电动势的驱动下运动,电动势能转化为自由电子动能,形成了电流。在这种情况下,坡印亭矢量只是一个数学定义,它没有形成真正的能流,所以电磁能流不是从金属导线的外部传输到内部的。也就是说,直流电能完全是在通电导线的内部传输的。
在推导坡印亭定理的过程中,从方程(4)到方程(5),用到了法拉第定律。这个过程说明必须有个交变磁场产生交变电场的物理过程。这个过程在自由空间以及绝缘介质中的电磁波存在。
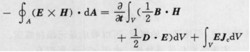
另外,当用上述经典的微分算子把E的点积代入方程(1)的两边进行运算时,我们必须考虑我们采取微分运算的局部微小点在哪里。如果这个局部微小点在导线之外,则传导电流密度jc为零,这时坡印亭定理(7)退化为:
− ∇ ⋅ ( E × H ) = ∂ ∂ t ( ε E 2 2 + μ H 2 2 ) (10)
方程(10)仅仅是方程(7)的一个特例,其中传导电流密度jc是零。方程(10)反映了电磁波在自由空间以及绝缘介质的传输过程。在直流电路的情况,导线外的电场强度以及电场强度都不随时间变化,方程(10)的右边为0;左边坡印亭矢量的散度是0。
另一方面,如果局部微小点位于导线内部,则传导电流密度jc和E在不同位置可能是不同的。更加重要的关键点:我们必须从物理源头上搞清楚,导线内部的电场强度E和传导电流密度jc是如何产生的。这个过程需要区分二种不同的情况:
1) 如果它们是由闭合电路中电源的电动势产生的,那么这个物理过程不涉及到交变磁场产生交变电场,也就不涉及坡印亭定理。
2) 如果是电磁波传输到接收天线,在接收天线的导线内产生了电场强度E和电流密度j,那么这个物理过程需要坡印亭定理。所以,坡印亭定理(7)是有一定适用范围的。1
本词条内容贡献者为:
李嘉骞 - 博士 - 同济大学
责任编辑:科普云
科普中国APP
科普中国微信
科普中国微博

最新文章
-
为何太阳系所有行星都在同一平面上旋转?
新浪科技 2021-09-29
-
我国学者揭示早期宇宙星际间重元素起源之谜
中国科学报 2021-09-29
-
比“胖五”更能扛!我国新一代载人运载火箭要来了
科技日报 2021-09-29
-
5G演进已开始,6G研究正进行
光明日报 2021-09-28
-
“早期暗能量”或让宇宙年轻10亿岁
科技日报 2021-09-28
-
5G、大数据、人工智能,看看现代交通的创新元素
新华网 2021-09-28








