位错科普中国-科学百科 2019-02-21 作者:李嘉骞 |
位错又可称为差排(英语:dislocation),在材料科学中,指晶体材料的一种内部微观缺陷,即原子的局部不规则排列(晶体学缺陷)。从几何角度看,位错属于一种线缺陷,可视为晶体中已滑移部分与未滑移部分的分界线,其存在对材料的物理性能,尤其是力学性能,具有极大的影响。“位错”这一概念最早由意大利数学家和物理学家维托·伏尔特拉(Vito Volterra)于1905年提出。
位错的几何概念位概念
刃位错和螺位错是主要的两种位错类型。然而实际晶体中存在的位错往往是混合型位错,即兼具刃型和螺型位错的特征。
晶体材料由规则排列的原子构成,一般把这些原子抽象成一个个体积可忽略的点,把它们排列成的有序微观结构称为空间点阵。逐层堆垛的原子构成一系列点阵平面的,称为晶面(可以将晶体中原子的排列情况想像成把橙子规则地装进箱子里的样子)。具体的排列情况如右图所示。在无位错的晶体(完整晶体)中,晶面(右图中的红色平行四边形)以等间距规则地排列。
刃位错
若一个晶面在晶体内部突然终止于某一条线处,则称这种不规则排列为一个刃位错。刃位错附近的原子面会发生朝位错线方向的扭曲。刃位错可由两个量确定:第一个是位错线,即多余半原子面终结的那一条直线;第二个是伯格斯矢量(Burgers vector,简称伯氏矢量或柏氏矢量),它描述了位错导致的原子面扭曲的大小和方向。对刃位错而言,其伯氏矢量方向垂直于位错线的方向。
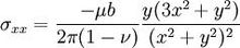
利用弹性力学理论可求得刃位错导致的应力场为:


其中 μ 为材料的剪切模量,b 为伯格斯矢量,ν 为泊松比,x 和 y 为直角坐标分量。 从上述解中可以看出,在含有多余半原子面的一侧(y > 0),材料承受压应力(σxx > 0)。
螺位错
将规则排列的晶面想像成一叠间距固定的纸片,若将这叠纸片剪开(但不完全剪断),然后将剪开的部分其中一侧上移半层,另一侧下移半层,形成一个类似于楼梯拐角处的排列结构,则此时在“剪开线”终结处(这里已形成一条垂直纸面的位错线)附近的原子面将发生畸变,这种原子不规则排列结构称为一个螺位错。
尽管形象不甚直观,但螺位错的应力场却远比刃位错的应力场容易求解。在一级近似下,螺位错应力场只有一个剪应力分量不为零:
式中 μ 为材料的剪切模量,b 为伯氏矢量,r 为所在点的极坐标极轴分量。 该应力解显示,螺位错附近的应力场呈轴对称式分布,大小从内到外递减。但需要注意的是在位错核心区(r=0)处按上述解将得出应力无穷大,这是不符合实际情况的。因此上述应力表达式不适用于位错核心的严重畸变区。
混合位错
如前所述,刃位错的伯氏矢量垂直于位错线的方向,螺位错的伯氏矢量平行于其位错线方向。但实际材料中位错的伯氏矢量往往既非平行又非垂直于位错线方向,这些位错兼具了刃位错和螺位错的特征,称为混合位错。
位错分类
位错按相对位向分为:刃型位错、螺型位错、混合位错;又有主位错和次位错(晶界位错)之分。
面心立方中的位错有全位错、不全位错(分位错)、扩展位错;不全位错包括Shockley分位错、Frank分位错、压杆位错(Lomer-cottrell位错锁,L-C阻塞,梯毯杆位错、梯杆位错)。1
位错形式
理想位错主要有两种形式:刃位错(edge dislocations)和 螺旋位错(screw dislocations),是线缺陷。混合位错(mixed dislocations)兼有前面两者的特征。
数学上,位错属于一种拓扑缺陷,有时称为“孤立子”或“孤子”。这一理论可以解释实际晶体中位错的行为:可以在晶体中移动位置,但自身的种类和特征在移动中保持不变;方向(伯格斯矢量)相反的两个位错移动到同一点,则会双双消失,或称“湮灭”,若没有与其他位错发生作用或移到晶体表面,那么任何单个位错都不会自行“消失”(即伯格斯矢量始终保持守恒)。
特征
位错线必须是连续的,它或者起止于晶体表面(或晶界),或形成封闭回路(位错环),或者在结点处和其它位错相连。由于景深的关系,我们通常在高分辨或者使用双束条件获得的都是一段位错。
位错的观测间接观察
若材料中的位错线与材料表面相交(俗称位错“露头”),则交点
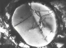
处附近由于位错应力场的存在,其化学稳定性将低于表面的其它部分。若用酸性腐蚀剂(如氢氟酸和硝酸的混合溶液)对这样的表面进行腐蚀,则位错“露头”处的腐蚀速度将远高于其它部分,可形成一个“腐蚀坑”。再利用一些表面显微观察技术(如扫描电子显微镜、干涉显微镜等等)便可以观察到位错的“露头”位置。下图中展示了在干涉显微镜下,经上述方法制备得到硅片表面位错腐蚀坑的形态,根据腐蚀坑边缘的形状可以确定硅片的晶体学取向——椭圆形代表硅片表面为(100)晶面,三角形代表硅片表面为(111)晶面。
若施加外力令材料发生一系列微小变形,则每次变形后某一特定位错都将处
于不同的位置。如果每次变形后都对材料表面进行腐蚀,则同一位错形成的一系列腐蚀坑将粗略地显示出位错运动的轨迹。
直接观察
利用透射电子显微镜(Transmission Electron Microscope,简称TEM)可直接观察到材料微结构中的位错。TEM观察的第一步是将金属样品加工成电子束可以穿过的薄膜。在没有位错存在的区域,电子通过等间距规则排列的各晶面时将可能发生衍射,其衍射角、晶面间距及电子波长之间满足布拉格定律(Bragg's law)。而在位错存在的区域附近,晶格发生了畸变,因此衍射强度亦将随之变化,于是位错附近区域所成的像便会与周围区域形成衬度反差,这就是用TEM观察位错的基本原理,因上述原因造成的衬度差称为衍射衬度。
在右图中,中间稍亮区域(晶粒)里的暗线就是所观察到位错的像。由于多晶材料中不同晶粒的晶体学取向不同,因此晶粒之间亦存在衬度差别,这就是图7和图8中中间区域较周围区域更
亮的原因。值得注意的是,图中位错像所具有的“蜿蜒”的形态,这是位错线在厚度方向穿过试样(薄膜)的位错在TEM下的典型形态;还需注意的是图中位错像的终结处实际上是因为位错线到达了试样表面,而非终结在了试样内部。所有位错都只能以位错环的形式终结于晶粒的内部。
用TEM观察位错时,放大倍数一般选在5万到30万倍之间,这远未达到TEM放大倍数的极限。部分TEM还配有对试样进行在观察中原位加热/变形的装置,可以直接对位错的运动进行实时观察。
场离子显微镜(Field ion microscopy,简称FIM)和原子探针(atom probe)技术提供了放大倍数更高(一般在300万倍以上)的观测方法,可在原子尺度对材料表面的位错进行直接观测。
位错源
材料中的位错密度会随着塑性形变的进行而增加,其数量大致满足关系:
,其中 τ 为塑性流动应力,ρ 为位错密度。由这一关系可以推测,材料内部必然存在着位错的起源与增殖的机制,这些机制在外加应力的作用下将被激活,以提供增加的位错数。
人们已发现材料中存在以下三种位错的起源(成核)机制:均匀成核、晶界成核和界面成核,其中最后一种包括各种沉淀相、分散相或增强纤维等等。
位错的增殖机制主要也有三种机制:弗兰克-里德位错源(Frank-Read source)机制、双交滑移增殖机制,和攀移增殖机制。2
位错的滑移与晶体塑性
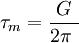
在1930年代以前,材料塑性力学行为的微观机理一直是严重困扰材料科学家重大难题。1926年,苏联物理学家雅科夫·弗仑克尔(Jacov Frenkel)从理想完整晶体模型出发,假定材料发生塑性切变时,微观上对应着切变面两侧的两个最密排晶面(即相邻间距最大的晶面)发生整体同步滑移。根据该模型计算出的理论临界分剪应力τm 为:

其中G 为剪切模量。一般常用金属的G 值约为10000MPa~100000MPa,由此算得的理论切变强度应为1000MPa~10000MPa。然而在塑性变形试验中,测得的这些金属的屈服强度仅为0.5~10MPa,比理论强度低了整整3个数量级。这是一个令人困惑的巨大矛盾。
1934年,埃贡·欧罗万(Egon Orowan),迈克尔·波拉尼(MichaelPolanyi)和G.I. 泰勒(G. I. Taylor)三位科学家几乎同时提出了塑性变形的位错机制理论,解决了上述理论预测与实际测试结果相矛盾的问题。3位错理论认为,之所以存在上述矛盾,是因为晶体的切变在微观上并非一侧相对于另一侧的整体刚性滑移,而是通过位错的运动来实现的。一个位错从材料内部运动到了材料表面,就相当于其位错线扫过的区域整体沿着该位错伯格斯矢量方向滑移了一个单位距离(相邻两晶面间的距离)。这样,随着位错不断地从材料内部发生并运动到表面,就可以提供连续塑性形变所需的晶面间
滑移了。与整体滑移所需的打断一个晶面上所有原子与相邻晶面原子的键合相比,位错滑移仅需打断位错线附近少数原子的键合,因此所需的外加剪应力将大大降低。
在对材料进行“冷加工”(一般指在绝对温度低于0.3 Tm下对材料进行的机械加工,Tm 为材料熔点的绝对温度)时,其内部的位错密度会因为位错的萌生与增殖机制的激活而升高。随着不同滑移系位错的启动以及位错密度的增大,位错之间的相互交截的情况亦将增加,这将显著提高滑移的阻力,在力学行为上表现为材料“越变形越硬”的现象,该现象称为加工硬化(work hardening)或应变硬化(strain hardening)。缠结的位错常能在塑性形变初始发生时的材料中找到,缠结区边界往往比较模糊;在发生动态回复(recovery)过程后,不同的位错缠结区将分别演化成一个个独立的胞状结构,相邻胞状结构间一般有小于15°的晶体学取向差(小角晶界)。
由于位错的积累和相互阻挡所造成的应变硬化可以通过适当的热处理方法来消除,这种方法称为退火。退火过程中金属内部发生的回复或再结晶等过程可以消除材料的内应力,甚至完全恢复材料变形前的性能。
刃位错的攀移
位错可以在包含了其伯格斯矢量和位错线的平面内滑移。螺位错的伯氏矢量平行于位错线,因此它可以在位错线所在的任何平面内滑移。而刃位错的伯氏矢量垂直于位错线,所以它只有一个滑移面。但刃位错还有一种在垂直于其滑移面方向上的运动方式,这就是攀移,即构成刃位错的多余半原子面的伸长或缩短。
攀移的驱动力来自于晶格中空位的运动。右图所示,若一个空位移到了
刃位错滑移面上与位错线相邻的位置上,则位错核心处的原子将有可能“跃迁”到空位处,造成半原子面(位错核心)向上移动一个原子间距,这一刃位错“吸收”空位的过程称为正攀移。若反之,有原子填充到半原子面下方,造成位错核心向下移动一个原子间距,则称为负攀移。
由于正攀移导致了多余半原子面的退缩,所以将使晶体在垂直半原子面方向收缩;反之,负攀移将使晶体在垂直半原子面方向膨胀。因此,在垂直半原子面方向施加的压应力会促使正攀移的发生,反之拉应力则会促使负攀移的发生。这是攀移与滑移在力学影响上的主要差别,因为滑移是由剪应力而非正应力促成的。
位错的滑移与攀移另一处差异在于温度相关性。温度的升高能大大增加位错攀移的概率。相比而言,温度对滑移的影响则要小得多2。
本词条内容贡献者为:
李嘉骞 - 博士 - 同济大学
责任编辑:科普云
科普中国APP
科普中国微信
科普中国微博

最新文章
-
为何太阳系所有行星都在同一平面上旋转?
新浪科技 2021-09-29
-
我国学者揭示早期宇宙星际间重元素起源之谜
中国科学报 2021-09-29
-
比“胖五”更能扛!我国新一代载人运载火箭要来了
科技日报 2021-09-29
-
5G演进已开始,6G研究正进行
光明日报 2021-09-28
-
“早期暗能量”或让宇宙年轻10亿岁
科技日报 2021-09-28
-
5G、大数据、人工智能,看看现代交通的创新元素
新华网 2021-09-28








